Baisse de prix

BMW 1200

R 1200 r

7500 €
7 300 €


Oupss vendue

Moto toujours très bien entretenue.
Je ne me sépare de cette super moto,après quelques années de parfaite harmonie, que pour un motif médical .

Mot du vendeur, Dominique
CARROSSERIE

Bon
MECANIQUE

Bon
SUIVI ENTRETIEN

Très bon
check Ces notes ont été attribuées par un conseiller Bonnie&Car suite à un entretien avec le vendeur.
En savoir plus

Equipement & Options

ABS
- ABS -
Options notables : Bulle ( Haute ) | Gravage ICA Security | phare d'appoint + protège main + pare cylindre + tapis de réservoir Bagster- passage de roue Wunderlich | Sacoches laterales (avec valises intérieures) | Pack valises (couvercles plats et larges) | Poignees chauffantes (+Protèges main Wunderlich) | Top case (Givi Trek52N + dossier+ porte paquets )

Entretien & Condition


+Première immatriculation : 05/2011
+Genre national : MTT2 - Quel permis pour quel moto ?

+Contexte achat : Achetée à un Professionnel
+Précédent(s) propriétaire(s) : 2ème main

+Finition : BMW R1200R 1200cc
+Entretenue par : Garage de la marque
+Carnet d'entretien : Rempli et tamponné
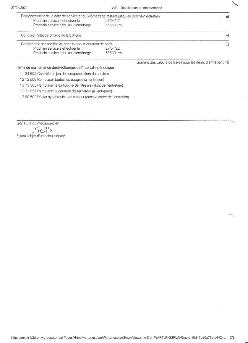
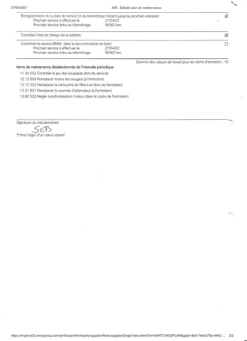
+Entretiens : 27/04/2021: entretien annuel- vidanges: moteur, pont AR avec joint spy ,boite vitesse, freins AV,AR - Plaquettes AV - prochaine révision 10.000 km
Batterie changée en 2019
Embrayage changé en 2017 à 40.000 km
+Factures : Toutes les factures
+Chute : Oui, à l'arrêt
+Double clefs : OUI non
+Utilisation : Balades
+Origine : France

--- Consommables ---
+Transmission : Cardan
+Pneumatiques : Usure AV : 50 % - Usure AR : 50 %
+Plaquettes : Usure AV : 0 % (Neufs) - Usure AR : 50 %

--- Défauts ---
+Extérieur : Petits frottements bulle , valises plattes et par-cylindres


+Accidents : aucun

check Jamais accidenté
check En très bon état mécanique
check Resté à l'abris

CRIT'Air

Ce véhicule semble être CRIT'Air 2.
Demandez votre simulation
critair

Ce véhicule a été vendu

Laisser un commentaire

Pour pouvoir commenter vous devez être connecté : connectez-vous ou inscrivez-vous

Référence: 37001 - Vendue le 22/05/2021

Comparateur d'assurances

en partenariat avec meilleureassurance
Grâce à ce comparateur, estimez le prix de votre contrat pour votre nouveau véhicule.

Financement

Découvrez aussi

7 250 €
dès 108€/mois
649 cc
Honda
Cbr 650
2024
3134 km
- 20 %
7 390 €
dès 108€/mois
530 cc
Piaggio
Mp3 530
2023
1500 km
7 200 €
dès 108€/mois
660 cc
Triumph
Street
2021
12500 km

Bénéficiez du confort de vente Bonnie